關於我們
ABOUT
歷史沿革
組織架構
使命與成長
捐助章程
最新消息
NEWS
最新公告
活動消息
工作內容
SERVICE
社區關懷據點
社會福利
開辦相關課程
捐款資訊
DONATE
好站連結
LINKS
我要捐款
DONATE
我要捐款
Copyright © 2021 Cornelius Social Welfare Foundation. All Rights Reserved.
NEWS
最新消息
Home
最新公告
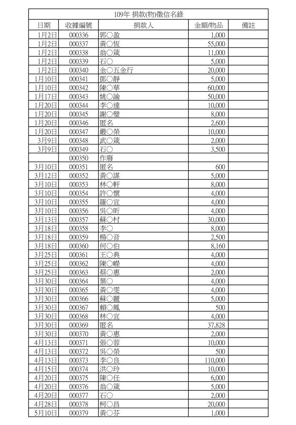
109年徵信名錄
May 06 | 2022
分享於
回上一頁